의사결정트리
의사결정 규칙을 나무구조로 나타내에 전체 데이터를 소집단으로 분류하거나 예측하는 분석기법
전체 데이터에서 마치 스무고개하듯이 질문하며 분류해나간다.
그 모양이 마치 나무와 같아서 의사결정 나무라 부른다.

불순도
말 그대로 불순도. 순도의 반대말

1번과 3번 항아리를 파란 공, 빨간 공으로만 채워져 있으며, 2번 항아리는 빨간 공과 파란 공이 정확히 반반 섞여 있다.
1번과 3번 항아리는 순도 100%라 할 수 있으며, 2번 항아리는 불순도가 높은 상태라 할 수 있다.
불순도를 수치로 나타내는 지표는 엔트로피와 지니계수가 있는데 ID3알고리즘은 엔트로피를 이용한다.
엔트로피
불순도를 측정하는 지표, 정보의 기대값
엔트로피가 높을수록 불순도가 높고, 엔트로피가 낮을수록 불순도가 낮다.

k는 대상 속성의 원소(k =참가여부)인데, x가 k일 확률에다가 x가 k일 확률에 밑이 2인 로그를 취한 값을 곱한 후 이 값들의 합에 음수를 취하는 식으로 계산한다.
정보 획득량
분할 전 엔트로피와 분할 후 엔트로피의 차이
정보 획득량 공식은 상위 노드의 엔트로피에서 하위 노드의 엔트로피를 뺀 값

정보획득량이 크다는 것은 어떠한 속성으로 분할했을 때, 불순도가 줄어든다는것을 의미한다.
가지고 있는 모든속성에 대해 정보획득량을 계산한 후에 값이 가장 큰 속성부터 분할한다.
특징
트리의 각 노드에서 정보 획득을 최대 + 엔트로피를 최소화해서 하나의 속성을 테스트 한다.
독립 변수가 모두 범주형일 때만 사용 가능
Ex) 성별(남/여), 성공여부(성공/실패), 혈액형(A/B/O/AB)
효과(없음/조금 있음/매우 있음)
단점
작은 샘플을 테스트하면 데이터가 과적합되거나 과도하게 분류
한 번에 하나의 속성만 결정을 위해 테스트 됨
구현

1. pandas, numpy, pprint 모듈을 불러온다.
import pandas as pd
import numpy as np
from pprint import pprint
2. 예시 데이터셋을 만든다.
raw_data = {'날짜':['D1','D2','D3','D4','D5','D6','D7','D8','D9','D10','D11','D12','D13','D14'],
'날씨':['맑음','맑음','흐림','비','비','비','흐림','맑음','맑음','비','맑음','흐림','흐림','비'],
'온도':['더움','더움','더움','포근','서늘','서늘','서늘','포근','서늘','포근','포근','포근','더움','포근'],
'습도':['높음','높음','높음','높음','정상','정상','정상','높음','정상','정상','정상','높음','정상','높음'],
'바람':['약함','강함','약함','약함','약함','강함','강함','약함','약함','약함','강함','강함','약함','강함'],
'참가여부':['X','X','O','O','O','X','O','X','O','O','O','O','O','X']}
data = pd.DataFrame(raw_data)
features = data[['날씨','온도','습도','바람']]
target = data[['참가여부']]
data

3. 엔트로피를 계산하는 함수를 만든다.
참가여부에 대한 엔트로피를 출력해본다.
#numpy.unique()함수는 고유값을 반환해 준다.
#엔트로피 계산 함수
def entropy(target_col):
elements, counts = np.unique(target_col, return_counts = True)
print(elements, counts)
entropy = -np.sum([(counts[i]/np.sum(counts))*np.log2(counts[i]/np.sum(counts)) for i in range(len(elements))])
return entropy
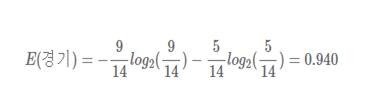
print(round(entropy(target), 5)) #참가 여부에 대한 엔트로피 계산
--출력--
['O' 'X'] [9 5]
0.94029

4. 정보 획득량을 계산하는 함수를 만든다.
total_entropy변수에 목표 속성을 넣어 전체 엔트로피를 계산한다.
Weighted_Entropy변수에 가중 엔트로피를 넣는다.
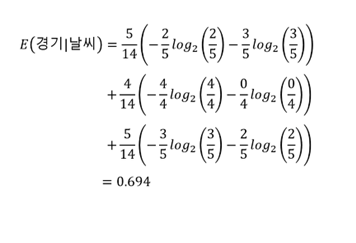
아래 공식은 날씨의 가중엔트로피를 구하는 방법이다. 같은 방법으로 모든 속성의 가중엔트로피를 구해 전체 엔트로피에서 뺀다.


#정보 획득령 계산 함수 ==> 높을수록 좋음
def InfoGain(data, split_attribute_name, target_name):
#전체 엔트로피 계산 = 참가여부
total_entropy = entropy(data[target_name])
#가중 엔트로피 계산
vals,counts = np.unique(data[split_attribute_name],return_counts=True)
Weighted_Entropy = np.sum([(counts[i]/np.sum(counts))*
entropy(data.where(data[split_attribute_name]==vals[i]).dropna()[target_name])
for i in range(len(vals))])
print(split_attribute_name, '=', round(Weighted_Entropy,5))
#정보 획득량 계산
Information_Gain = total_entropy - Weighted_Entropy
return Information_Gain
print("정보 획득량 :",round(InfoGain(data,'날씨','참가여부'),5))
print("정보 획득량 :",round(InfoGain(data,'온도','참가여부'),5))
print("정보 획득량 :",round(InfoGain(data,'습도','참가여부'),5))
print("정보 획득량 :",round(InfoGain(data,'바람','참가여부'),5))
--출력--
날씨 = 0.69354
정보 획득량 : 0.24675
온도 = 0.91106
정보 획득량 : 0.02922
습도 = 0.78845
정보 획득량 : 0.15184
바람 = 0.89216
정보 획득량 : 0.04813
날씨의 정보획득량이 가장 큰것을 알 수 있다.
5. 앞서 만든 함수들을 바탕으로 ID3함수를 만든다.
단일 노드가되면 반복을 멈춰야 되기 때문에 조건문을 걸어준다
그리고 트리 성장에 먼저 부모노드 즉, 목적 속성을 정의한다.
다음에 모든 속성의 정보획득량을 비교하여 best_feature에 정보 획득량이 가장 큰 속성을 할당한다.
이후 트리 구조를 만들고 위에서 선택한 best_feature를 features에서 제외한다.
마지막으로 가지를 성장시킨다.
def ID3(data, original_data, features, target, parent_node_class =None):
#데이터, 원본데이터, 비교데이터, 타겟데이터, 부모노드 클래스
# 중지기준 정의
# 1. 대상 속성이 단일값을 가지면: 해당 대상 속성 반환, 단말노드가 됬을 때
if len(np.unique(data[target])) <= 1:
return np.unique(data[target])[0]
# 트리 성장
else:
#부모노드 클래스 속성 정의(참가여부 : O)
parent_node_class = np.unique(data[target])
[np.argmax(np.unique(data[target], return_counts=True)[1])]
#분할 데이터 선택 -> 정보 획득량을 계산하여 가장 큰 인덱스 선택 ex)날씨, 온도, 습도, 바람
item_values = [InfoGain(data,a,target) for a in features] #모든 속성
best_feature_index = np.argmax(item_values) #정보 획득량이 가장 큰 인덱스 반환
best_feature = features[best_feature_index] #정보 획득량이 가장 큰 속성 반환
print(best_feature)
#트리 구조 생성
tree = {best_feature:{}}
#위에서 선택한 최대정보획득량을 가진 속성 제외
features = [i for i in features if i != best_feature]
# 가지 성장
for value in np.unique(data[best_feature]):
#data[best_feature]와 value값이 같으면 행, 열을 제거한다.
#value는 best_feature각각의 값들이다
sub_data = data.where(data[best_feature] == value).dropna()
#ID3알고리즘 구현
subtree = ID3(sub_data, data, features, target, parent_node_class)
tree[best_feature][value] = subtree
return tree
#np.where()함수는 조건에 참인 인덱스를 반환한다.
#dropna()함수는 결측치를 삭제해주는 역할을 한다.
#한줄 for문 참고
features = for i in features:
if i ! = best_feature:
i
출력
tree = ID3(data, data, ["날씨","온도","습도","바람"], "참가여부")
print('ㅡㅡㅡㅡㅡㅡㅡㅡㅡㅡㅡㅡㅡㅡㅡㅡㅡㅡㅡㅡ')
pprint(tree)
--출력--
ㅡㅡㅡㅡㅡㅡㅡㅡㅡㅡㅡㅡㅡㅡㅡㅡㅡㅡㅡㅡ
{'날씨': {'맑음': {'습도': {'높음': 'X', '정상': 'O'}},
'비': {'바람': {'강함': 'X', '약함': 'O'}},
'흐림': 'O'}}
잘 출력된다.
## 사실 100퍼센트 이해하지 못했다. 많아도 50퍼정도 밖에 이해하지 못한것 같다.
## 특히 구현부분의 가지성장 부분의 dropna()함수를 이용하여 결측치를 삭제하는 방식을 잘 모르겠다.
예제파일
주피터 노트북을 사용함
'Emotion > 인공지능 기초' 카테고리의 다른 글
| 랜덤 포레스트 (0) | 2020.09.16 |
|---|---|
| 의사결정 트리 CART (0) | 2020.09.16 |
| 의사결정 트리 캐글 (0) | 2020.09.15 |
| KNN_캐글 (0) | 2020.09.15 |
| K-NN 최근접 이웃 (K-Nearest Neighbor) 알고리즘 (0) | 2020.09.11 |